RAM Commander User Manual

K-out-of-N Without Repair

K-out-of-N Without Repair

Previous topic Next topic  

K-out-of-N Without Repair

Previous topic Next topic  

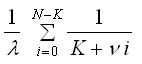
The formulas in the following table are used to compute MTTF and reliability for various redundant item loads and without item repair.

Source Data

Models

Load of redundant items

MTTF

Reliability

100%

RBD_Formula40

RBD_Formula43

0%

RBD_Formula41

RBD_Formula44

0 < ν 100% 100%

RBD_Formula42

RBD_Formula45

The source of the formulas is "Reliability Handbook" by B. A. Kozlov, I. A. Ushakov.